请在
下方输入
要搜索的题目:
搜 索
r<l-z=X(2)
r
发布时间:
2025-09-29 12:08:15
首页
智慧树
推荐参考答案
(
由 题搜搜 官方老师解答 )
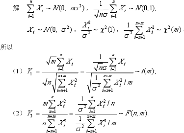
答案:
相关试题
1.
r
2.
x、y∈R,则x+y>4xy>4是x>2y>2的()条件.
3.
f(x) f(x)f"(r)f'(x) f(r)
4.
设u=u(r),r=√x x … x,n≥3,若u满足
5.
试证明S={yly=2-×2,x∈R}有上界而无下界
6.
m(n n)(n2 2)B.J。(1 x)(1 y)d1 r)(] y)Dn
7.
2x 2 (3xy 2 ﹣x 2 y)﹣2(xy 2 x 2 )
8.
若函数f(x)=3sin(ωx φ)对∀x∈R均有f(2 x)=f(2-x),则f(2)的值为 A.3或0 B.-3或0 C.0 D.-3或3
9.
C. n-x) g(x)f()-g(x) ]dx.D. m-f()-(r)0(r)-g()dr.
10.
与公式("x)(P(x)∧Q(x, y))Þ($x)R(x, y)等值的是( )。
登录 - 搜搜题库网
登录
立即注册
已购买搜题包,但忘记账号密码?
登录即同意
《服务协议》
及
《隐私政策》
注册 - 搜搜题库网
获取验证码
确认注册
立即登录
登录即同意
《服务协议》
及
《隐私政策》