请在 下方输入 要搜索的题目:

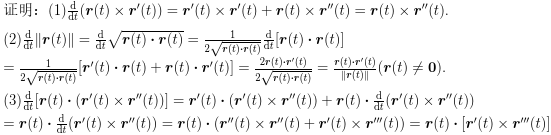
3)r(t). ('(t)x r"(t)= r(t). '(t) x r"(

3)r(t). ('(t)x r"(t)= r(t). '(t) x r"(

发布时间:2025-11-26 01:50:35
推荐参考答案 ( 由 题搜搜 官方老师解答 )
答案:
登录 - 搜搜题库网
立即注册
注册 - 搜搜题库网
立即登录