- 首页
 
      - 国家电网试题
 
    
    
    
      
      
        
          答案:
         
       
     
    
    
      
      
        
                    - 
            1.f(x) f(x)f"(r)f'(x) f(r)
          
 
                    - 
            2.Ce 'f(e)-/(r)De 'f(e")  f(x)
          
 
                    - 
            3.6.设f(x)=fx2≤0则f(-x)等于(x2 x),x>0.B f(-r)≤0D
          
 
                    - 
            4.(r)e,f (r), f(r) f(r)f (r)f
          
 
                    - 
            5.4.设f(x)f(f(),f(f(f(z))), f(
          
 
                    - 
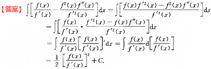
            6.f2(x)f"(r)31fs()dz
          
 
                    - 
            7.f2(x)f"(r)fs()dz
          
 
                    - 
            8.【计算题】1.已知函数 ,求: f(0),f( ),f(-x),f(x 1),f( ).
          
 
                    - 
            9.3.设F(X是f(x)的原函数,且F(x)·f(x)=2(1)2.F(0)=1(F(x)>0)求F(x)及fx
          
 
                    - 
            10.(g)若函数fx满足方程f(x) f"(x)-2f(x)=0及f"(x) f(x)=2e,