请在
下方输入
要搜索的题目:
搜 索
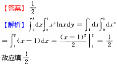
12 dr| Indy=
12 dr| Indy=
发布时间:
2025-09-08 11:53:18
首页
学习通答案
推荐参考答案
(
由 题搜搜 官方老师解答 )
答案:
相关试题
1.
12 dr| Indy=
2.
52 . dr Indy=
3.
4d. a"Indy
4.67da|"Indy=
5.
Indy=
6.
/dr/is a .()
7.
DR
8.
】DR
9.
f(x)dr=U()P dr
10.
15 ' dr
登录 - 搜搜题库网
登录
立即注册
已购买搜题包,但忘记账号密码?
登录即同意
《服务协议》
及
《隐私政策》
注册 - 搜搜题库网
获取验证码
确认注册
立即登录
登录即同意
《服务协议》
及
《隐私政策》