请在
下方输入
要搜索的题目:
搜 索
4d. a"Indy
4d. a"Indy
发布时间:
2025-08-02 09:48:51
首页
国家电网试题
推荐参考答案
(
由 题搜搜 官方老师解答 )
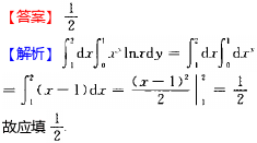
答案:
相关试题
1.
4d. a"Indy
2.67da|"Indy=
3.
12 dr| Indy=
4.
52 . dr Indy=
5.
Indy=
6.
A.图3B.图1C.图4D.图2
登录 - 搜搜题库网
登录
立即注册
已购买搜题包,但忘记账号密码?
登录即同意
《服务协议》
及
《隐私政策》
注册 - 搜搜题库网
获取验证码
确认注册
立即登录
登录即同意
《服务协议》
及
《隐私政策》