请在
下方输入
要搜索的题目:
搜 索
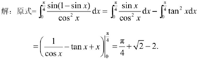
sin Xx(4)dx0 1 sin x
sin Xx(4)dx0 1 sin x
发布时间:
2025-10-25 06:20:44
首页
智慧树
推荐参考答案
(
由 题搜搜 官方老师解答 )
答案:
相关试题
1.
sin Xx(4)dx0 1 sin x
2.
(xr-)-(1 sin"x)dx
3.
(3) y= X -sin y
4.
已知sinα+sinβ=1 cosα+cosβ=0 那么cos2α+cos2β等于()。A.0B.1C.-1D.±1
5.
Q )y=( sin)) y= 1
6.
(4) e cos ydlr-e sin jdy:
7.
sinαsinβ-cosαcosβ等于( )A、sin(α β)B、cos(α β)C、sin(α-β)D、-cos(α β)
8.
cos(α-β)cos β-sin (α-β)sin β=
9.
四、求lim Sin x 2cosX-2
10.
函数f(x)=sin(BA E
登录 - 搜搜题库网
登录
立即注册
已购买搜题包,但忘记账号密码?
登录即同意
《服务协议》
及
《隐私政策》
注册 - 搜搜题库网
获取验证码
确认注册
立即登录
登录即同意
《服务协议》
及
《隐私政策》