- 首页
 
      - 学习通答案
 
    
    
    
      
      
        
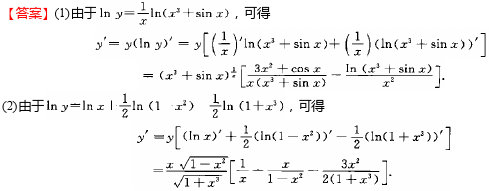
          答案:
         
       
     
    
    
      
      
        
                    - 
            1.Q )y=( sin)) y= 1
          
 
                    - 
            2.(3) y= X -sin y
          
 
                    - 
            3.(1)y=√x 1
          
 
                    - 
            4.yáng méi tǔ qì
          
 
                    - 
            5.13、设y=y(x)满足y" 2y y=0,且y(0)=0,y(0)=1,则y(x)dx
          
 
                    - 
            6.函数y=sin(2x−5)x的导函数为y=2xcos(2x−5)−sin(2x−5)x2y=2xcos(2x−5)−sin(2x−5)x2.
          
 
                    - 
            7.(∃z)(∀y){(∃x)P(x,y,z)∨(∃q)(∀w)(∃e)Q(q,w,e,z)}  在消去存在量词后,正确的为(   )。
          
 
                    - 
            8.[单选题]复合函数y=sin(ln√x)可以分解为() A y=sinu,u=lnvυ,υ=√x B y=sinu,u=√υ,υ=lnx C y=lnu,u=√x D y=sinu,u=lnx
          
 
                    - 
            9.与公式("x)(P(x)∧Q(x, y))Þ($x)R(x, y)等值的是(  )。
          
 
                    - 
            10.设f(x)=∫x- y|sin√ydy,求f(x)