请在
下方输入
要搜索的题目:
搜 索
(r)e,f (r), f(r) f(r)f (r)f
(r)e,f (r), f(r) f(r)f (r)f
发布时间:
2025-10-27 17:50:07
首页
特岗教师
推荐参考答案
(
由 题搜搜 官方老师解答 )
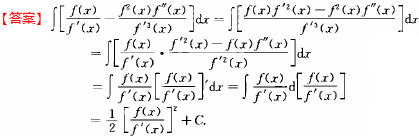
答案:
相关试题
1.
(r)e,f (r), f(r) f(r)f (r)f
2.
f(x) f(x)f"(r)f'(x) f(r)
3.
Ce 'f(e)-/(r)De 'f(e") f(x)
4.
sportsocken für herren
5.
f2(x)f"(r)31fs()dz
6.
f2(x)f"(r)fs()dz
7.
performance /pər ˈfɔːrməns/
8.
____ dieses Museum für moderne Kunst gegangen.
9.
va het åre får 2000 tale
10.
Samstag ist ein anderes Wort für: _______
登录 - 搜搜题库网
登录
立即注册
已购买搜题包,但忘记账号密码?
登录即同意
《服务协议》
及
《隐私政策》
注册 - 搜搜题库网
获取验证码
确认注册
立即登录
登录即同意
《服务协议》
及
《隐私政策》