请在
下方输入
要搜索的题目:
搜 索
sin( ≠0.00
sin( ≠0.00
发布时间:
2025-12-22 09:08:47
首页
国家电网试题
推荐参考答案
(
由 题搜搜 官方老师解答 )
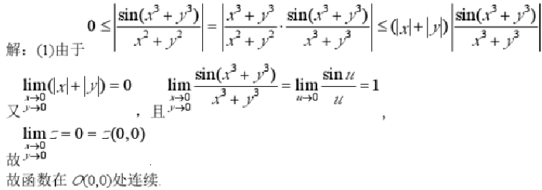
答案:
相关试题
1.
sin( ≠0.00
2.
cos(α-β)cos β-sin (α-β)sin β=
3.
sinαsinβ-cosαcosβ等于( )A、sin(α β)B、cos(α β)C、sin(α-β)D、-cos(α β)
4.
脱水塔塔釜ET指标≤0.00%
5.
sin(-α)=
6.
sin(θ β) = 3cosθ )3sin β cosθ = sin θ cos β cosθ sin β习题 7-7图
7.
sin Xx(4)dx0 1 sin x
8.
sin Zdr
9.
sin a da
10.
sinécdoque
登录 - 搜搜题库网
登录
立即注册
已购买搜题包,但忘记账号密码?
登录即同意
《服务协议》
及
《隐私政策》
注册 - 搜搜题库网
获取验证码
确认注册
立即登录
登录即同意
《服务协议》
及
《隐私政策》