请在
下方输入
要搜索的题目:
搜 索
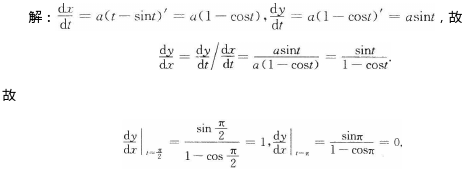
r a(t - sint设求dyy =a( costC =Ct=
r a(t - sint设求dyy =a( costC =Ct=
发布时间:
2025-10-18 05:08:59
首页
特岗教师
推荐参考答案
(
由 题搜搜 官方老师解答 )
答案:
相关试题
1.
r a(t - sint设求dyy =a( costC =Ct=
2.
x= a(cost sint), dyy= a(sint- t cost)
3.
-r)sint dr2limr sine dr
4.
3)r(t). ('(t)x r"(t)= r(t). '(t) x r"(
5.
设aa求lima
6.
(2)e(t)=e-u(t),r(0-)=1,r(0-)=
7.
c(t)=25d r(t) d2r(t)6r2(t
8.
33.求Cost t
9.
r t a s c r d a m a c r e a l a e n t r n t y s o
10.
已知文法G[S]: S→eT|RT T→DR|ε R→dR|ε D→a|bd求FIRST(S)= ( )。
登录 - 搜搜题库网
登录
立即注册
已购买搜题包,但忘记账号密码?
登录即同意
《服务协议》
及
《隐私政策》
注册 - 搜搜题库网
获取验证码
确认注册
立即登录
登录即同意
《服务协议》
及
《隐私政策》