请在
下方输入
要搜索的题目:
搜 索
52,求x
52,求x
发布时间:
2025-11-11 08:29:37
首页
智慧树
推荐参考答案
(
由 题搜搜 官方老师解答 )
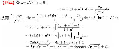
答案:
相关试题
1.
52,求x
2.
已知 ,且x为偶数,求( x)
3.
求 |x 4| |x 3| |x| |x-1| |x-5|的最小值.
4.
.解方程6x=2,求x=( )
5.
52
6.
四、求lim Sin x 2cosX-2
7.
设f(x)=∫x- y|sin√ydy,求f(x)
8.
第52
9.
52 28=
10.
求下列函数值:(1)已知函数f(x)=x3-3x2+4x+5,求f(1),f(-2)(2)已知函数f(x)=-2x2+3x,求f(0),f(-1),f(-x)
登录 - 搜搜题库网
登录
立即注册
已购买搜题包,但忘记账号密码?
登录即同意
《服务协议》
及
《隐私政策》
注册 - 搜搜题库网
获取验证码
确认注册
立即登录
登录即同意
《服务协议》
及
《隐私政策》