请在
下方输入
要搜索的题目:
搜 索
dx(1 x10)
dx(1 x10)
发布时间:
2026-02-26 14:06:34
首页
特岗教师
推荐参考答案
(
由 题搜搜 官方老师解答 )
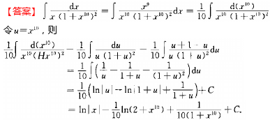
答案:
相关试题
1.
dx(1 x10)
2.
(xr-)-(1 sin"x)dx
3.
x 1(4」03x 1 arctan x dx
4.
29.求1=fu(1 x)dx(>0
5.
( ) = ò ò y y dx y x
6.
(24na dx
7.
()xe dx
8.
4∫-dx
9.
(d)5y( 4(1 5d2 dty(t)=7x(t) I dx(dt
10.
(2)- smx-1}dx
登录 - 搜搜题库网
登录
立即注册
已购买搜题包,但忘记账号密码?
登录即同意
《服务协议》
及
《隐私政策》
注册 - 搜搜题库网
获取验证码
确认注册
立即登录
登录即同意
《服务协议》
及
《隐私政策》