请在
下方输入
要搜索的题目:
搜 索
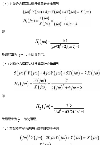
(d)5y( 4(1 5d2 dty(t)=7x(t) I dx(dt
(d)5y( 4(1 5d2 dty(t)=7x(t) I dx(dt
发布时间:
2026-01-20 06:20:36
首页
智慧树
推荐参考答案
(
由 题搜搜 官方老师解答 )
答案:
相关试题
1.
(d)5y( 4(1 5d2 dty(t)=7x(t) I dx(dt
2.
(综合练习 中)main( ){ int t=1;for(i=1 ; i<5 ; i ) t=t*i;printf("%d",t);}
3.
(4)f(t)=1 t
4.
【单选题】设F(x)= f(t)dt,则 F(x)=()A. dt B. f(x)d(t t)- f(t)dt C. f(t)dt- f(t)dt D. f(x) x
5.
0o(t to)u(t 2to)dt=
6.
A[T]=A[]-A[T]A1*A[-A[T)(2)for(i=1;i←=n:i )for (=1; j<=n; j )V[G]=(i/j)(j/i)
7.
for(i=1,s=0; i<=n; i ){t=1;for(j=1;j<=i;j )t=t*j;s=s t;}
8.
e (t 5)dt=
9.
the vampire diaries season 1 tóm tắt nội dung
10.
Dạo này tôi không tốt
登录 - 搜搜题库网
登录
立即注册
已购买搜题包,但忘记账号密码?
登录即同意
《服务协议》
及
《隐私政策》
注册 - 搜搜题库网
获取验证码
确认注册
立即登录
登录即同意
《服务协议》
及
《隐私政策》