请在
下方输入
要搜索的题目:
搜 索
105n. dy
105n. dy
发布时间:
2026-02-05 01:29:02
首页
智慧树
推荐参考答案
(
由 题搜搜 官方老师解答 )
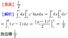
答案:
相关试题
1.
105n. dy
2.
129n. dy
3.
43yd dy x"yd
4.
tanya=(siny x)dy
5.
D-(社dy(d
6.
【单选题】设 ,则dy=
7.
D. 2'daf(ry)dy
8.
Q L dQ,dy图
9.
()" f( y) de(B)dy"f(x y)dr(C). dr, f (x, y)dy(D)dxf (, y)
10.
1-(x-1)21) da f(r, y) dy da
登录 - 搜搜题库网
登录
立即注册
已购买搜题包,但忘记账号密码?
登录即同意
《服务协议》
及
《隐私政策》
注册 - 搜搜题库网
获取验证码
确认注册
立即登录
登录即同意
《服务协议》
及
《隐私政策》