请在 下方输入 要搜索的题目:

函数X=2L1 3L2、Y=X L3、Z=X Y。L1、L2、、L3的中误差均为m,求X、Y、Z的中误差。

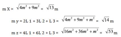
函数X=2L1 3L2、Y=X L3、Z=X Y。L1、L2、、L3的中误差均为m,求X、Y、Z的中误差。

发布时间:2026-01-30 04:52:25
推荐参考答案 ( 由 题搜搜 官方老师解答 )
答案:
登录 - 搜搜题库网
立即注册
注册 - 搜搜题库网
立即登录