请在
下方输入
要搜索的题目:
搜 索
43 er)-r-2
43 er)-r-2
发布时间:
2026-01-31 08:04:52
首页
国家电网试题
推荐参考答案
(
由 题搜搜 官方老师解答 )
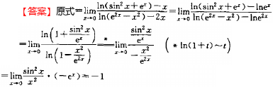
答案:
相关试题
1.
43 er)-r-2
2.
40 er)-r-2
3.
43
4.
43 N2 3
5.
-er
6.
Gesten hatmite teiltA、er mir esB、es er mirC、er es mirD、mir er es
7.
_er verheiratet ist,macht er viel Haushalt
8.
((r)er (r)er n ryr r
9.
er 是
10.
Er in Deutschland.
登录 - 搜搜题库网
登录
立即注册
已购买搜题包,但忘记账号密码?
登录即同意
《服务协议》
及
《隐私政策》
注册 - 搜搜题库网
获取验证码
确认注册
立即登录
登录即同意
《服务协议》
及
《隐私政策》