请在
下方输入
要搜索的题目:
搜 索
276 COO
276 COO
发布时间:
2026-01-29 20:43:33
首页
智慧树
推荐参考答案
(
由 题搜搜 官方老师解答 )
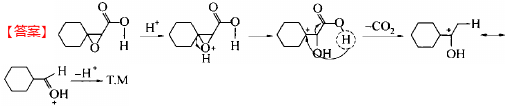
答案:
相关试题
1.
276 COO
2.
203 COO
3.
270 COO
4.
facebook COO?
5.
274 COO
6.
COO是什么职位
">
7.
8.
COO是什么职位?()A、首席财务官B、首席执行官C、首席营销官D、首席运营官
9.
某公司6月份每天的销售额数据如下: 257 276 297 252 238 310 240 236 265 278 271 292 261 281 301 274 267 280 291 258 272
10.
Intelligent Electronics社CEO( )、IBMパーソナルコンピュータ事業北米ディレクターとして12年を過ごし、コンパックのバイスプレジデントを半年務めた後、1997年に辞任したマルコ・ランディCOO
登录 - 搜搜题库网
登录
立即注册
已购买搜题包,但忘记账号密码?
登录即同意
《服务协议》
及
《隐私政策》
注册 - 搜搜题库网
获取验证码
确认注册
立即登录
登录即同意
《服务协议》
及
《隐私政策》