请在
下方输入
要搜索的题目:
搜 索
34 .I dr Inrd
34 .I dr Inrd
发布时间:
2026-02-27 09:55:13
首页
智慧树
推荐参考答案
(
由 题搜搜 官方老师解答 )
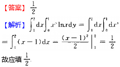
答案:
相关试题
1.
34 .I dr Inrd
2.
0 dr Inrd
3.
87, dr Inrd
4.
6. dr Inrd
5.
dr =n(I)
6.
34×2=34×2 34×=74 (______)
7.
34 、 3,5,10,25,75 ,(), 875
8.
.34 the map of the world.
9.
/dr/is a .()
10.
DR
登录 - 搜搜题库网
登录
立即注册
已购买搜题包,但忘记账号密码?
登录即同意
《服务协议》
及
《隐私政策》
注册 - 搜搜题库网
获取验证码
确认注册
立即登录
登录即同意
《服务协议》
及
《隐私政策》