请在
下方输入
要搜索的题目:
搜 索
13.求Cost
13.求Cost
发布时间:
2026-01-29 22:58:12
首页
国家电网试题
推荐参考答案
(
由 题搜搜 官方老师解答 )
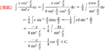
答案:
相关试题
1.
13.求Cost
2.
13. financial and cost analysis
3.
13.求m-xx3
4.
33.求Cost t
5.
cost—cost—cost
6.
13.试用叠加定理求下图所示电路中的电流I62-920图
7.
13.设1imx mx n5,求常数m,n的值t→1
8.
13.
9.
x= a(cost sint), dyy= a(sint- t cost)
10.
Which one of the following repair will cost the least cost?
登录 - 搜搜题库网
登录
立即注册
已购买搜题包,但忘记账号密码?
登录即同意
《服务协议》
及
《隐私政策》
注册 - 搜搜题库网
获取验证码
确认注册
立即登录
登录即同意
《服务协议》
及
《隐私政策》