请在
下方输入
要搜索的题目:
搜 索
35.证明ege=8 1B (B 1B
35.证明ege=8 1B (B 1B
发布时间:
2026-01-26 15:18:28
首页
特岗教师
推荐参考答案
(
由 题搜搜 官方老师解答 )
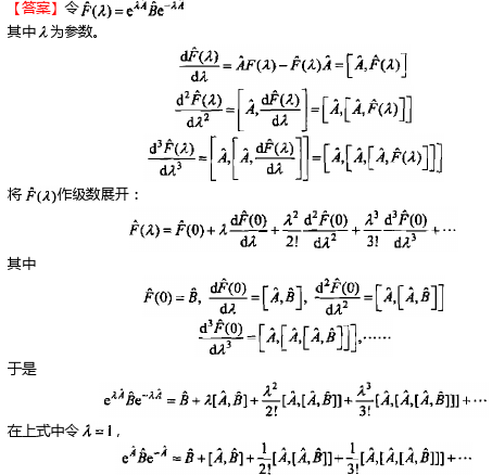
答案:
相关试题
1.
35.证明ege=8 1B (B 1B
2.
a=1b=-2print("#%3d#%-3d" %(a,b))结果是:
3.
1B=8b
4.
填空题:1B=()bit
5.
BS=2BCS=B2D S=1B
6.
判断对错:JTY—1.2/1B中的B表示防爆。
7.
8.方程1ogA、1B、2C、3D、4
8.
下面哪个表达式的值是字符‘b'?A、a 1B、'a' 1C、a '1'D、'a' '1'
9.
[多选] 在300mA . 1B . 2C . 3D . 4E . 5
10.
氯化亚汞(HgA、1B、2C、-1D、3
登录 - 搜搜题库网
登录
立即注册
已购买搜题包,但忘记账号密码?
登录即同意
《服务协议》
及
《隐私政策》
注册 - 搜搜题库网
获取验证码
确认注册
立即登录
登录即同意
《服务协议》
及
《隐私政策》