请在
下方输入
要搜索的题目:
搜 索
39x 56x 13
39x 56x 13
发布时间:
2026-01-26 22:02:23
首页
特岗教师
推荐参考答案
(
由 题搜搜 官方老师解答 )
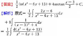
答案:
相关试题
1.
39x 56x 13
2.
56x 56x 13
3.
1041 56x 13
4.
1071 56x 13
5.
144x 56x 13
6.
7x 56x 13
7.
28x 56x 13
8.
1081 56x 13
9.
76 56x 13a
10.
140x 56x 1
登录 - 搜搜题库网
登录
立即注册
已购买搜题包,但忘记账号密码?
登录即同意
《服务协议》
及
《隐私政策》
注册 - 搜搜题库网
获取验证码
确认注册
立即登录
登录即同意
《服务协议》
及
《隐私政策》