请在
下方输入
要搜索的题目:
搜 索
250.求d1 r2)
250.求d1 r2)
发布时间:
2026-02-11 12:45:05
首页
国家电网试题
推荐参考答案
(
由 题搜搜 官方老师解答 )
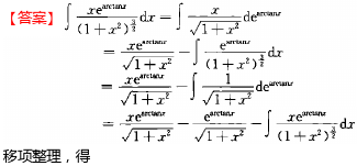
答案:
相关试题
1.
250.求d1 r2)
2.
螺纹小径D1或d1
3.
下图所示电路中已知U1=5V,U2=12VU=15V角频率w=100adS求R2和L
4.
A.R1,R2,R5,R7
5.
1 14%D1 10%365
6.
(r2 2)8(2-r)dr=
7.
(r2 2)8(2--)dr=
8.
CR jolD/R2 (oL)2图
9.
判定系数R2的取值范围是( )。
10.
关系R如下:ABCDa1b1c1d1a1b2c3d4a2b1c1d3a3b1c2d2a3b1C3d4a1的象集是:A、{(b1), (c1), (d1) }B、{(b1, c1), (b2, c3)
登录 - 搜搜题库网
登录
立即注册
已购买搜题包,但忘记账号密码?
登录即同意
《服务协议》
及
《隐私政策》
注册 - 搜搜题库网
获取验证码
确认注册
立即登录
登录即同意
《服务协议》
及
《隐私政策》