请在
下方输入
要搜索的题目:
搜 索
14·ap)rdt
14·ap)rdt
发布时间:
2026-02-10 15:46:23
首页
特岗教师
推荐参考答案
(
由 题搜搜 官方老师解答 )
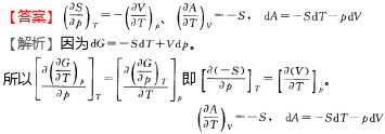
答案:
相关试题
1.
14·ap)rdt
2.
63·ap)rdt
3.
AP分为哪些AP?
4.
AP类型根据组网方式分,一般可分为AP和AP两种。
5.
名词解释:AP
6.
(ap
7.
14 + 14 =
8.
Ap op to sis
9.
75 Ap op to
10.
Ap是什么意思
登录 - 搜搜题库网
登录
立即注册
已购买搜题包,但忘记账号密码?
登录即同意
《服务协议》
及
《隐私政策》
注册 - 搜搜题库网
获取验证码
确认注册
立即登录
登录即同意
《服务协议》
及
《隐私政策》