请在
下方输入
要搜索的题目:
搜 索
145.求
145.求
发布时间:
2026-02-15 21:34:28
首页
特岗教师
推荐参考答案
(
由 题搜搜 官方老师解答 )
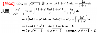
答案:
相关试题
1.
145.求
2.
145.承诺
3.
145.→N
4.
(1)求Dmax(2)求Tmax(3)求M1max(4)求M2max
5.
求lim
6.
求rt
7.
别求
8.
求不定积分
9.
148.求
10.
109.求
登录 - 搜搜题库网
登录
立即注册
已购买搜题包,但忘记账号密码?
登录即同意
《服务协议》
及
《隐私政策》
注册 - 搜搜题库网
获取验证码
确认注册
立即登录
登录即同意
《服务协议》
及
《隐私政策》