请在
下方输入
要搜索的题目:
搜 索
175.求
175.求
发布时间:
2025-10-25 16:25:18
首页
特岗教师
推荐参考答案
(
由 题搜搜 官方老师解答 )
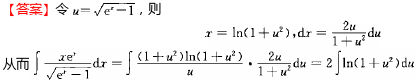
答案:
相关试题
1.
175.求
2.
175.下列各项,标志着祖国大陆获得统一,各族人民实现大团结的是( )。
3.
(1)求Dmax(2)求Tmax(3)求M1max(4)求M2max
4.
求lim
5.
求rt
6.
别求
7.
求不定积分
8.
148.求
9.
109.求
10.
179.求
登录 - 搜搜题库网
登录
立即注册
已购买搜题包,但忘记账号密码?
登录即同意
《服务协议》
及
《隐私政策》
注册 - 搜搜题库网
获取验证码
确认注册
立即登录
登录即同意
《服务协议》
及
《隐私政策》