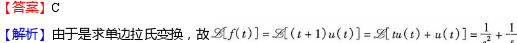
10.已知f(t)=(1 1)u( 1),则f(t)的单边拉氏变换F(s)为A F(s) =eB F(s) =eA、F(s)=1B、F(s)=1
10.已知f(t)=(1 1)u( 1),则f(t)的单边拉氏变换F(s)为A F(s) =eB F(s) =e
A、F(s)=1
B、F(s)=1
            发布时间:2025-10-09 05:32:03
          
        10.已知f(t)=(1 1)u( 1),则f(t)的单边拉氏变换F(s)为A F(s) =eB F(s) =e
A、F(s)=1
B、F(s)=1