请在
下方输入
要搜索的题目:
搜 索
s1n一z47.求1=1limn 1 … "
s1n一z47.求1=1limn 1 … "
发布时间:
2025-10-11 09:01:15
首页
学习通答案
推荐参考答案
(
由 题搜搜 官方老师解答 )
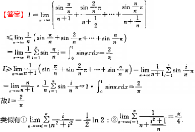
答案:
相关试题
1.
s1n一z47.求1=1limn 1 … "
2.
230.求1=
3.
31.求1=
4.
15.求iman,其中an=√1 √i √ 1
5.
68.求1 x2
6.
D.2 P(氏1)- 一 1
7.
lim(x->1)1/(1-x)-3/(1-x^3)求极限
8.
(1)求Dmax(2)求Tmax(3)求M1max(4)求M2max
9.
limx→1(1-x分之1)-(1-x3次分之3)求极限?
10.
【简答题】求逆矩阵 求 2 1 7 5 3 -1 -4 -3 2 的逆矩阵
登录 - 搜搜题库网
登录
立即注册
已购买搜题包,但忘记账号密码?
登录即同意
《服务协议》
及
《隐私政策》
注册 - 搜搜题库网
获取验证码
确认注册
立即登录
登录即同意
《服务协议》
及
《隐私政策》