请在
下方输入
要搜索的题目:
搜 索
()lim sin aX→0x10
()lim sin aX→0x10
发布时间:
2025-11-24 06:21:45
首页
智慧树
推荐参考答案
(
由 题搜搜 官方老师解答 )
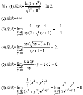
答案:
相关试题
1.
()lim sin aX→0x10
2.
四、求lim Sin x 2cosX-2
3.
x2 1n) lim 2(sin x cosx)=
4.
计算 $\displaystyle \lim _{x\rightarrow 0}\frac{\sin x}{x}$
5.
LIM
6.
ax(10)
7.
求lim
8.
设lim
9.
lim mar
10.
sinαsinβ-cosαcosβ等于( )A、sin(α β)B、cos(α β)C、sin(α-β)D、-cos(α β)
登录 - 搜搜题库网
登录
立即注册
已购买搜题包,但忘记账号密码?
登录即同意
《服务协议》
及
《隐私政策》
注册 - 搜搜题库网
获取验证码
确认注册
立即登录
登录即同意
《服务协议》
及
《隐私政策》