请在
下方输入
要搜索的题目:
搜 索
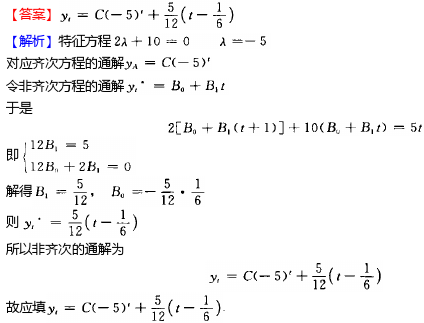
45.差分方程2ym1 10y,-51=0的通解为
45.差分方程2ym1 10y,-51=0的通解为
发布时间:
2025-10-14 14:07:06
首页
国家电网试题
推荐参考答案
(
由 题搜搜 官方老师解答 )
答案:
相关试题
1.
45.差分方程2ym1 10y,-51=0的通解为
2.
立节点0的有限差分方程式设
3.
(3 分)R-K 方程(Redlich -Kwong 方程)
4.
差异,差分
5.
过点(1,-4)且平行于直线2x+3y+5=0的直线方程为( )
6.
若过热蒸汽状态进料q线方程的斜率0
7.
条件平差模型中,方程的个数等于必需观测个数。
8.
45.厦门大学
9.
45.√2x-x2dx=
10.
(1)2x 3y-1=0 (2)2x-y 5=0(3)4x y-6=0 或 3x 2y-7=0 (4) 3x y = 0或 x - y 4 = o.
登录 - 搜搜题库网
登录
立即注册
已购买搜题包,但忘记账号密码?
登录即同意
《服务协议》
及
《隐私政策》
注册 - 搜搜题库网
获取验证码
确认注册
立即登录
登录即同意
《服务协议》
及
《隐私政策》