请在
下方输入
要搜索的题目:
搜 索
6. dr Inrd
6. dr Inrd
发布时间:
2025-10-16 18:35:53
首页
学习通答案
推荐参考答案
(
由 题搜搜 官方老师解答 )
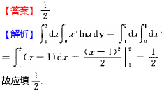
答案:
相关试题
1.
6. dr Inrd
2.
0 dr Inrd
3.
87, dr Inrd
4.
/dr/is a .()
5.
DR
6.
】DR
7.
f(x)dr=U()P dr
8.
15 ' dr
9.
r)dr
10.
152z-r dr=
登录 - 搜搜题库网
登录
立即注册
已购买搜题包,但忘记账号密码?
登录即同意
《服务协议》
及
《隐私政策》
注册 - 搜搜题库网
获取验证码
确认注册
立即登录
登录即同意
《服务协议》
及
《隐私政策》