请在
下方输入
要搜索的题目:
搜 索
3耳Cu2
3耳Cu2
发布时间:
2025-10-08 03:12:24
首页
学习通答案
推荐参考答案
(
由 题搜搜 官方老师解答 )
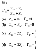
答案:
相关试题
1.
3耳Cu2
2.
耳胀耳闭
3.
压耳
4.
耳是 ()
5.
下列不属于传统意义的耳饰有()A、耳钉B、耳环C、耳钳D、耳麦
6.
耳が痛い
7.
耳を塞ぐ
8.
耳内堵塞感
9.
耳源性并发症病因?
10.
耳を傾ける
登录 - 搜搜题库网
登录
立即注册
已购买搜题包,但忘记账号密码?
登录即同意
《服务协议》
及
《隐私政策》
注册 - 搜搜题库网
获取验证码
确认注册
立即登录
登录即同意
《服务协议》
及
《隐私政策》