请在
下方输入
要搜索的题目:
搜 索
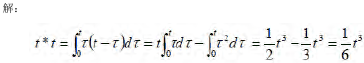
(1)t*t
(1)t*t
发布时间:
2025-09-28 16:56:29
首页
学习通答案
推荐参考答案
(
由 题搜搜 官方老师解答 )
答案:
相关试题
1.
(1)t*t
2.
A.h(t)*g(t)=B.h(t)*g(t)=1C.h(t)g(t)=D.h(t)g(t)=1
3.
(综合练习 中)main( ){ int t=1;for(i=1 ; i<5 ; i ) t=t*i;printf("%d",t);}
4.
the vampire diaries season 1 tóm tắt nội dung
5.
(2)e(t)=e-u(t),r(0-)=1,r(0-)=
6.
6判定下列向量组是线性相关还是线性无关1)(131T(210)T(141)T(20)T(140)T(002)T
7.
d16(2t 1)(t)F
8.
求函数的卷积f1(t)*f2(t)。f1(t)=tε(t),f2(t)=ε(t)A.()½t²ε(t)()B.()½tε(t)()C.()t²ε(t)()D.()½t³ε(t)
9.
t *= n t = t*n t = n t += n
10.
1、____ heißt das auf Deutsch?
登录 - 搜搜题库网
登录
立即注册
已购买搜题包,但忘记账号密码?
登录即同意
《服务协议》
及
《隐私政策》
注册 - 搜搜题库网
获取验证码
确认注册
立即登录
登录即同意
《服务协议》
及
《隐私政策》