请在
下方输入
要搜索的题目:
搜 索
求:I=
求:I=
发布时间:
2025-10-14 02:56:28
首页
特岗教师
推荐参考答案
(
由 题搜搜 官方老师解答 )
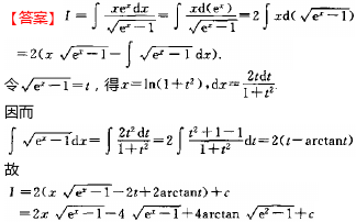
答案:
相关试题
1.
求:I=
2.
24.求I
3.
71.求I=2.2 sin z
4.
33.求I=a2 sin2 r cos
5.
15.求iman,其中an=√1 √i √ 1
6.
求I=√y- reddy.,D=(xy)-1≤x≤.0≤y≤2
7.
5.求I= zaya ya.zaz tzara,其中S是椭球面 =1取外侧
8.
(1)求Dmax(2)求Tmax(3)求M1max(4)求M2max
9.
求lim
10.
求rt
登录 - 搜搜题库网
登录
立即注册
已购买搜题包,但忘记账号密码?
登录即同意
《服务协议》
及
《隐私政策》
注册 - 搜搜题库网
获取验证码
确认注册
立即登录
登录即同意
《服务协议》
及
《隐私政策》