请在
下方输入
要搜索的题目:
搜 索
飞一 |
飞一 |
发布时间:
2026-01-18 15:17:59
首页
智慧树
推荐参考答案
(
由 题搜搜 官方老师解答 )
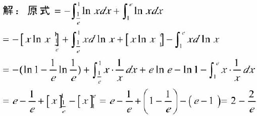
答案:
相关试题
1.
飞一 |
2.
双飞可以演变成三飞、四飞等连飞
3.
水飞
4.
王飞
5.
飞网
6.
林飞焕
7.
让子弹飞
8.
科大讯飞
9.
飞虎航空公司
10.
飞钱是?
登录 - 搜搜题库网
登录
立即注册
已购买搜题包,但忘记账号密码?
登录即同意
《服务协议》
及
《隐私政策》
注册 - 搜搜题库网
获取验证码
确认注册
立即登录
登录即同意
《服务协议》
及
《隐私政策》