请在 下方输入 要搜索的题目:

113设zf(xy),其中函数f可微则 yA、2yf'(, y)B、~2yf'(r, y)C、(R. yD、∫(x,y)

113设zf(xy),其中函数f可微则 y
A、2yf'(, y)
B、~2yf'(r, y)
C、(R. y
D、∫(x,y)

发布时间:2025-11-05 18:41:50
推荐参考答案 ( 由 题搜搜 官方老师解答 )
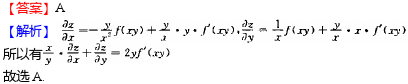
答案:
登录 - 搜搜题库网
立即注册
注册 - 搜搜题库网
立即登录