请在
下方输入
要搜索的题目:
搜 索
ga)(g-6)a<z<
ga)(g-6)a
发布时间:
2025-11-29 06:00:02
首页
学习通答案
推荐参考答案
(
由 题搜搜 官方老师解答 )
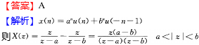
答案:
相关试题
1.
ga)(g-6)a
2.
=[()ga]p65
3.
1 gan ga
4.
ga谦和的
5.
guard/ ga:d/
6.
mayor of tallulah falls ga
7.
dat ga je rocken
8.
A.Z <ZαB.Z >ZαC.Z <-ZαD.Z >-Zα
9.
A.Rx-< |z|≤∞B.Rx-< |z|C.0≤ |z|< Rx-D.0< |z|< Rx-
10.
jersey mike's augusta ga
登录 - 搜搜题库网
登录
立即注册
已购买搜题包,但忘记账号密码?
登录即同意
《服务协议》
及
《隐私政策》
注册 - 搜搜题库网
获取验证码
确认注册
立即登录
登录即同意
《服务协议》
及
《隐私政策》