请在
下方输入
要搜索的题目:
搜 索
2C Hs44
2C Hs44
发布时间:
2025-12-06 12:14:16
首页
学习通答案
推荐参考答案
(
由 题搜搜 官方老师解答 )
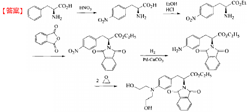
答案:
相关试题
1.
2C Hs44
2.
2C Hs40
3.
1C、2C
4.
8.方程1ogA、1B、2C、3D、4
5.
[多选] 在300mA . 1B . 2C . 3D . 4E . 5
6.
氯化亚汞(HgA、1B、2C、-1D、3
7.
iPhone5S内存是()GBRAMA、1B、2C、3D、4
8.
循环语句“for(i=1;iA、1B、2C、9D、10
9.
B.m(z1 72)2C m(z )D. m(g z)
10.
我省有健康城市国家级试点市( )A、6B、2C、3
登录 - 搜搜题库网
登录
立即注册
已购买搜题包,但忘记账号密码?
登录即同意
《服务协议》
及
《隐私政策》
注册 - 搜搜题库网
获取验证码
确认注册
立即登录
登录即同意
《服务协议》
及
《隐私政策》