请在
下方输入
要搜索的题目:
搜 索
-r dr=
-r dr=
发布时间:
2025-11-28 11:37:22
首页
特岗教师
推荐参考答案
(
由 题搜搜 官方老师解答 )
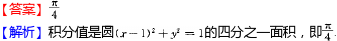
答案:
相关试题
1.
r)dr
2.
-r dr=
3.
r 2. r dr
4.
622- r dr
5.
332- r dr
6.
882- r dr
7.
332- r dr
8.
x2- r dr=
9.
-r)sint dr2limr sine dr
10.
(4√r arcsin工dr
登录 - 搜搜题库网
登录
立即注册
已购买搜题包,但忘记账号密码?
登录即同意
《服务协议》
及
《隐私政策》
注册 - 搜搜题库网
获取验证码
确认注册
立即登录
登录即同意
《服务协议》
及
《隐私政策》