请在
下方输入
要搜索的题目:
搜 索
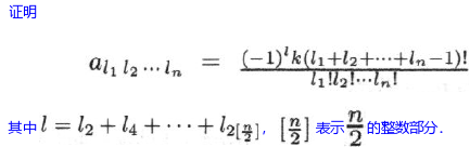
3.设j l=k
3.设j l=k
发布时间:
2026-01-18 21:31:19
首页
国家电网试题
推荐参考答案
(
由 题搜搜 官方老师解答 )
答案:
相关试题
1.
3.设j l=k
2.
casual'kæʒjʊəl]a
3.
j j j j j k
4.
[A][S][D][F][J][K][L][;]B.[S][D][F][G][H][J][K][L]C.[Caps Lock][A][S][D][K][L][;][']D.
j==j>k);">
5.
int i,j,k;i=1;j=2;k=3;printf("%d\n",i>j==j>k);
6.
for(i=1; i<=n; i ){for(j=1; j<=n; j ){c[i][j]=0;for(k=1; k<=n; k ){c[i][j] = c[i][j] a[i][k]*b[k][
7.
j z j z j z j z k
8.
for(i=0;i
9.
jīn pí lì jìn
10.
J QzQ:K QK2 Q2
登录 - 搜搜题库网
登录
立即注册
已购买搜题包,但忘记账号密码?
登录即同意
《服务协议》
及
《隐私政策》
注册 - 搜搜题库网
获取验证码
确认注册
立即登录
登录即同意
《服务协议》
及
《隐私政策》