请在
下方输入
要搜索的题目:
搜 索
114计算 √x)
114计算 √x)
发布时间:
2025-09-30 00:27:18
首页
国家电网试题
推荐参考答案
(
由 题搜搜 官方老师解答 )
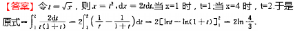
答案:
相关试题
1.
114计算 √x)
2.
114
3.
114,CHO
4.
114是什么电话号码?()
5.
北一女招生人數114
6.
计算极限
$$\lim_{n \rightarrow \infty}\frac{x^{2}+2x-15}{x^{2}-9}$$.
7.
11.设: sh xsh y=1,其中 sh e-e计算(x)d
8.
x x x x x x x x x x xxx x x x x x x x x x x x xxx x x()
9.
114适于眼部及颈部护理的面膜是()面膜。
10.
114 -An MBA degree is considered to be one of the important requirements fothe corporate position
登录 - 搜搜题库网
登录
立即注册
已购买搜题包,但忘记账号密码?
登录即同意
《服务协议》
及
《隐私政策》
注册 - 搜搜题库网
获取验证码
确认注册
立即登录
登录即同意
《服务协议》
及
《隐私政策》