请在
下方输入
要搜索的题目:
搜 索
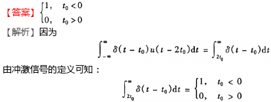
0o(t to)u(t 2to)dt=
0o(t to)u(t 2to)dt=
发布时间:
2025-10-14 14:19:58
首页
学习通答案
推荐参考答案
(
由 题搜搜 官方老师解答 )
答案:
相关试题
1.
0o(t to)u(t 2to)dt=
2.
A.h(t) = e t u(t) e -2t u(t)B.h(t) = e -t u(-t) e -2t u(t)C.h(t) = u(t)D.h(t) = e -t u(t) e -2t
3.
e (t 5)dt=
4.
[ e –t* u(t) ] ’=
5.
[ e –t u(t) ] ’=
6.
u(6-t)u(t) =
7.
函数A、y = u n , u =cos x nB、y = t , t =cos n xC、y = t n , t =cos xD、y =cos t , t = x n
8.
B t Ink / 2-kC t(k 22是(k1-k2)Dt=In(k1 k2)(k1-k2)
9.
Mẹ()là một cô giáo, tôi rất yêu mẹ tôi.
10.
mùa đông bắt đầu từ tháng mấy? ()
登录 - 搜搜题库网
登录
立即注册
已购买搜题包,但忘记账号密码?
登录即同意
《服务协议》
及
《隐私政策》
注册 - 搜搜题库网
获取验证码
确认注册
立即登录
登录即同意
《服务协议》
及
《隐私政策》