请在
下方输入
要搜索的题目:
搜 索
16.请证明:Vn=aVCBduavnvTat
16.请证明:Vn=aVCBduavnvTat
发布时间:
2025-10-02 13:39:51
首页
智慧树
推荐参考答案
(
由 题搜搜 官方老师解答 )
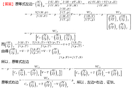
答案:
相关试题
1.
16.请证明:Vn=aVCBduavnvTat
2.
46.请证明:Vn=VVCavavC Tntat
3.
VCP请证明:JvJHnv TTat
4.
VCP38.请证明:(vC TOT
5.
VC51.请证明:(av)HC TOT
6.
19.请证明:Cp,m-Cv其中:aVn at
7.
12.请证明:Cpm-Cvm=.其1 av
8.
根据定义的范德蒙行列式,令 证明Vn(x)是n次多项式,它的根是x0,...,xn-1,且Vn(x)=Vn-1(x0,x1,...,xn-1)(x-x0)...(x-xx-1)
9.
VC58.请证明: av )H C. av)nt
10.
请证明:Cp,-CvVmT其中:a-v1 /av1 avmat
登录 - 搜搜题库网
登录
立即注册
已购买搜题包,但忘记账号密码?
登录即同意
《服务协议》
及
《隐私政策》
注册 - 搜搜题库网
获取验证码
确认注册
立即登录
登录即同意
《服务协议》
及
《隐私政策》