请在
下方输入
要搜索的题目:
搜 索
15 d."Indy=
15 d."Indy=
发布时间:
2025-10-07 22:19:02
首页
特岗教师
推荐参考答案
(
由 题搜搜 官方老师解答 )
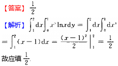
答案:
相关试题
1.15 d."Indy=
2.
4d. a"Indy
3.67da|"Indy=
4.
12 dr| Indy=
5.
52 . dr Indy=
6.
15% 15% 15% 15%是( )让步
7.
15%15%15%15%是()让步
8.
【填空题】15 15 15=
9.
. 、15 B. 14 C. 7 D. 6
10.
15 ธันวาคม วันอะไร
登录 - 搜搜题库网
登录
立即注册
已购买搜题包,但忘记账号密码?
登录即同意
《服务协议》
及
《隐私政策》
注册 - 搜搜题库网
获取验证码
确认注册
立即登录
登录即同意
《服务协议》
及
《隐私政策》