请在
下方输入
要搜索的题目:
搜 索
十65 .2",da
十65 .2",da
发布时间:
2025-10-06 18:31:52
首页
智慧树
推荐参考答案
(
由 题搜搜 官方老师解答 )
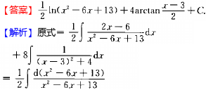
答案:
相关试题
1.
十65 .2",da
2.
dead island 2 十
3.
65
4.
The pension age for men is between 60 and 65 and is 65 for women
5.
da'we'da's'da'd'wa'd
6.
65 x 13 =
7.
de4、65 4sing
8.
819.99 45 65
9.
病人李某,女性,45岁,自感胸闷不适,嘴唇青紫,呼吸困难,查PaO
2
40mmHg,SaO
2
65%。
10.
As piores equipes da história da f2
登录 - 搜搜题库网
登录
立即注册
已购买搜题包,但忘记账号密码?
登录即同意
《服务协议》
及
《隐私政策》
注册 - 搜搜题库网
获取验证码
确认注册
立即登录
登录即同意
《服务协议》
及
《隐私政策》