请在
下方输入
要搜索的题目:
搜 索
CO,CTHCO-II
CO,CTHCO-II
发布时间:
2026-01-19 09:55:58
首页
国家电网试题
推荐参考答案
(
由 题搜搜 官方老师解答 )
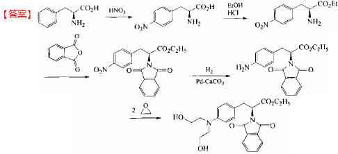
答案:
相关试题
1.
CO,CTHCO-II
2.
Quel ça coûte?Quelle ça coûte?Combien ça coûte?Comment ça coûte?
3.
9, co,C,H, CH,CO,Cai
4.
O113 CO
5.
Kappa Co
6.
215 CO
7.
DCH CO
8.
263 CO
9.
Iota Co
10.
123OCHPH:CO
登录 - 搜搜题库网
登录
立即注册
已购买搜题包,但忘记账号密码?
登录即同意
《服务协议》
及
《隐私政策》
注册 - 搜搜题库网
获取验证码
确认注册
立即登录
登录即同意
《服务协议》
及
《隐私政策》