请在
下方输入
要搜索的题目:
搜 索
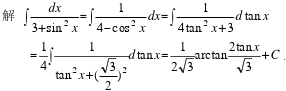
d3 sin- r
d3 sin- r
发布时间:
2025-09-09 22:24:34
首页
智慧树
推荐参考答案
(
由 题搜搜 官方老师解答 )
答案:
相关试题
1.
d3 sin- r
2.
Vitamin D3:
3.
在Excel表格中,“D3”表示该单元格位于( )
4.
答案R/R r (1 B)R.]、[(rm R)/(1 )] R、R、共集、(1 B)R/[r Rb (1 )R
5.
R URRF RR UR2RR,R UR. R,R, RR R
6.
(r)e,f (r), f(r) f(r)f (r)f
7.
R(A)=R(AT)
8.
A.m\r\n -1B.cm\r\n -1C.s\r\n -1D.sE.m\r\n 2 \r\n/kg
9.
R=2.33ΩB . R=4.33ΩC . R=6.33ΩD . R=8.33&Omega
10.
3)r(t). ('(t)x r"(t)= r(t). '(t) x r"(
登录 - 搜搜题库网
登录
立即注册
已购买搜题包,但忘记账号密码?
登录即同意
《服务协议》
及
《隐私政策》
注册 - 搜搜题库网
获取验证码
确认注册
立即登录
登录即同意
《服务协议》
及
《隐私政策》