请在
下方输入
要搜索的题目:
搜 索
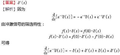
41.[e-8(t)]=
41.[e-8(t)]=
发布时间:
2025-10-11 02:44:42
首页
国家电网试题
推荐参考答案
(
由 题搜搜 官方老师解答 )
答案:
相关试题
1.
41.[e-8(t)]=
2.
41. SOLAS is the abbreviation of _____.
3.
41.交通红绿灯是采用哪种原理?
4.
41. Low prices, open culture, and quality schools are attracting many foreign students.
5.
求函数的卷积f1(t)*f2(t)。f1(t)=tε(t),f2(t)=ε(t)A.()½t²ε(t)()B.()½tε(t)()C.()t²ε(t)()D.()½t³ε(t)
6.
41.以下哪些是DMAIC方法中“控制(C)”阶段的常用工具
7.
t *= n t = t*n t = n t += n
8.
A.h(t)*g(t)=B.h(t)*g(t)=1C.h(t)g(t)=D.h(t)g(t)=1
9.
A.h(t) = e t u(t) e -2t u(t)B.h(t) = e -t u(-t) e -2t u(t)C.h(t) = u(t)D.h(t) = e -t u(t) e -2t
10.
A.T ~T B.T ~T C.T ~T D.T ~T E.T ~T
登录 - 搜搜题库网
登录
立即注册
已购买搜题包,但忘记账号密码?
登录即同意
《服务协议》
及
《隐私政策》
注册 - 搜搜题库网
获取验证码
确认注册
立即登录
登录即同意
《服务协议》
及
《隐私政策》