请在
下方输入
要搜索的题目:
搜 索
105.求Io e el-,dz
105.求Io e el-,dz
发布时间:
2025-08-13 18:37:30
首页
特岗教师
推荐参考答案
(
由 题搜搜 官方老师解答 )
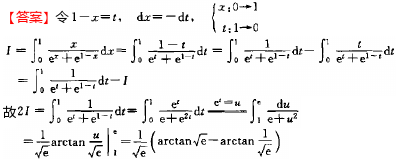
答案:
相关试题
1.
105.求Io e el-,dz
2.
Who are the descendants of Io?()
3.
IO控制方式包括
4.
f2(x)f"(r)31fs()dz
5.
f2(x)f"(r)fs()dz
6.
求函数f(x)=Inx在[1/e,e]上的定积分为()。
7.
Da bambino io ( ) [studiare] sempre in biblioteca.
8.
gel filtrat io n chromatography(凝胶过滤色谱
9.
(1)求Dmax(2)求Tmax(3)求M1max(4)求M2max
10.
令文法为G(E):E→ E + E | E - E | E * E | E / E | ( E ) | i下面的推导过程是句子i+i*i的最右推导的是
登录 - 搜搜题库网
登录
立即注册
已购买搜题包,但忘记账号密码?
登录即同意
《服务协议》
及
《隐私政策》
注册 - 搜搜题库网
获取验证码
确认注册
立即登录
登录即同意
《服务协议》
及
《隐私政策》