请在
下方输入
要搜索的题目:
搜 索
55.[e8(x)]=
55.[e8(x)]=
发布时间:
2025-09-22 07:38:10
首页
智慧树
推荐参考答案
(
由 题搜搜 官方老师解答 )
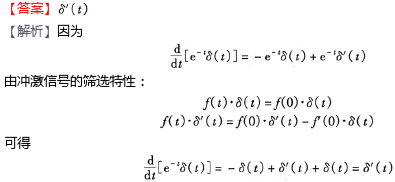
答案:
相关试题
1.
55.[e8(x)]=
2.
55. New Delhi
3.
55. channelprotens(通道蛋白)
4.
55.中国共产党第一次代表大会的长沙代表是。()
5.
6.
x x x x x x x x x x xxx x x x x x x x x x x x xxx x x()
7.
55.在《企业现场管理准则》标准中,推进要素包括()
8.
与“﹁"x(A(x)→B(x))”相等值的谓词公式是? "x(A(x)∧﹁B(x))$x﹁(A(x)∧B(x))$x(A(x)∧﹁B(x))"x﹁(A(x)→B(x))
9.
设0<A、{ x | x < a 或 x > }B、{ x | x > a }C、{ x | x > a 或 x < }D、{ x | x < }
10.
┐(∀x)A(x)⇔(∃x)┐A(x)B.┐(∃x)A(x)⇔(∀x)┐A(x)C.┐(∃x)(M(x)∧┐F(x))⇔(∀x)(M(x)→F(x))D.
登录 - 搜搜题库网
登录
立即注册
已购买搜题包,但忘记账号密码?
登录即同意
《服务协议》
及
《隐私政策》
注册 - 搜搜题库网
获取验证码
确认注册
立即登录
登录即同意
《服务协议》
及
《隐私政策》