请在
下方输入
要搜索的题目:
搜 索
31.求l=21
31.求l=21
发布时间:
2025-10-04 18:49:47
首页
国家电网试题
推荐参考答案
(
由 题搜搜 官方老师解答 )
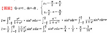
答案:
相关试题
1.
31.求l=21
2.
31.求1=
3.
31.求极限limIn(1 2r) sin2r
4.
4.求l=t.
5.
21 + 21 =__
6.
七、(12分)求曲面z=-2- 21与平面z=围成立体体积
7.
(1)求直线 l 的方程; (2)求椭圆C的方程
8.
【多选题】21题 A. 21题A B. 21题B C. 21题C D. 21题D
9.
21
10.
В Сочи 21 августа 1985 года за семь часов__________больше полуторамесячной нормы осадков.
登录 - 搜搜题库网
登录
立即注册
已购买搜题包,但忘记账号密码?
登录即同意
《服务协议》
及
《隐私政策》
注册 - 搜搜题库网
获取验证码
确认注册
立即登录
登录即同意
《服务协议》
及
《隐私政策》